中国特级黄色大片,欧美综合精品,91香蕉黄,亚洲专区一二三,欧美日韩高清在线播放,成人综合一区,久久久久久久久久美女

Current Location: HOME >> PRODUCTS >>
PRODUCTS
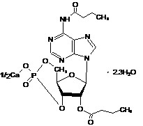
N6,2’-O-Dibutyryladenosine 3’,5’-cyclic monophosphate Calcium Salt

Product Name:  Calcium  Dibutyacyladenosine  Cyclophosphate;

N-(1-Oxobutyl)adenosine cyclic 3’,5’-(hydrogen phosphate) 2’- butano

-ate Calcium salt;N6,2’-O-dibutyryl cAMP Calcium salt; DBcAMP- Ca

Structure

Molecular Formula:  C18H23N5O8P •1/2Ca•2.3H2O

Molecular Weight:   529.9

CAS Number:       ----

NMPA  approval No.  H20066880

National Drug standards   YBH21242006  

TEST

CP

Results

Color & Appearance

Off white to faint yellow powder

Conforms

Water content

NMT 7.0 %

5.0 %

Assay ( HPLC )

NLT 98.0 %

98.5%

Impurities ( total )

NMT 2.0 %

1.8 %

Cyclic AMP  

NMT 0.4 %  

0.06%

N6-MBC ( N6-Monobutyryladenosine 3’:5’-cyclic momophosphate calcium salt )

 

NMT 0.4 %     

0.16%

2’-O-MBC ( 2’-O-Monobutyryladenosine 3’:5’-cyclic momophosphate calcium salt)

 

NMT 0.9 %  

0.77 %

Unknown  impurities

(individual)

NMT 0.3 %

0.16 %

Package: 1kg

Storage:Keep dry, store at temperature below 20℃.

< BACK >

Copyright?(C)?2017,Hunan Zhongqi Pharmaceutical Co., Ltd. All Rights Reserved. Supported by  ChemNet ChinaChemNet Toocle Copyright Notice